Muon Lifetime Abstract

 

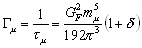
The Fermi constant GF is one of the fundamental parameters in the Standard Model. It governs the strength of any electroweak process. The muon decay rate is related to GF by the expression

where the term d represents QED radiative corrections. The present experimental knowledge of tm has an uncertainty of 18 ppm and dates back more than 15 years. However the uncertainty on GF was dominated by uncalculated 2-loop radiative corrections represented by d prior to recent publication of a series of papers by van Ritbergen and Stuart.1 With a thorough review of the relationship between tm and GF, they have reduced the theoretical error to less than 0.1 ppm. This advance coupled with increased muon beam fluxes and beamline development opens the door for a new high-precision measurement of the muon lifetime, and thus a new determination of GF. To this end, we have proposed2 Experiment R-99-07.1 (spokesmen: D. Hertzog, R. Carey) entitled "A Precision Measurement of the Positive Muon Lifetime Using a Pulsed Muon Beam and the mLan Detector" at the Paul Scherrer Institute (PSI). The project has been reviewed and endorsed by the program advisory committee and approved by the PSI management. This effort has the goal of measuring tm to a precision of 1 part in 106 giving an absolute uncertainty on the level of 2 ps and a new value for GF with a precision at the 0.5 ppm level. This represents a 20-fold improvement compared to the current world average. Such an experimental undertaking is challenging and in keeping with a recent trend to improve the precision on the knowledge of the fundamental parameters of the Standard Model to the extent that modern technology permits. Complementary examples include the enormous effort expended at CERN to determine the Z-boson mass to 2 MeV (22 ppm), new data on the W mass which will lead to a determination at the few hundred ppm level and improved extrapolation of the running of the fine-structure constant to the Z-mass pole. Future linear or muon colliders will aim at significant improvements in these quantities, as will current higher-precision determinations of the "R ratio" over a broad range of . Already, the low q2 knowledge of a is at the 0.004 ppm level using the results from electron measurements and plans are underway to decrease the error on a by a factor of 10. It is our belief that measurements of the fundamental constants, which can be performed with great precision, will be of enduring value.

 

A 1 ppm determination of tm requires 1012 muon decays which we plan to measure in a series of cycles featuring small muon bursts separated in time by approximately nine muon lifetimes. To achieve this time structure, the existing high-flux, continuous duty cycle pE3 beamline at PSI will be instrumented with an appendage containing a fast electrostatic kicker device with a duty cycle of approximately 50 kHz. It will be based on the existing MORE (muon-on-request) scheme in operation now at PSI. With a cw beam flux in the pE3 line of 15 MHz, 15 muons can be stopped in a thin solid target during an "accumulation fill" of 1 ms. The kicker plate voltages are then reversed and a "measuring period" begins. During this time, a beam extinction factor of several thousand is necessary to keep unwanted muons from entering the experiment and spoiling the fill. A high-efficiency beamline entrance scintillator is in place to identify such errant muons. The energetic positron in the decay is observed in a spherical assembly of fast timing scintillators during the 20 ms measuring period. Special efforts are being made to address the known and critical sources of possible systematic error. These include the multi-particle pileup, acceptance asymmetries, residual polarization, and PMT gain and timing stability. Each of these is discussed in detail in the body of the proposal2. Only a brief outline of the experiment can be included here.

 

A depolarizing sulfur target is used to stop the µ + and to reduce the residual polarization of the ensemble to a few percent. Individual muon spins are dephased during the accumulation period by the inclusion of a 75 G transverse magnetic field created from a small array of permanent magnets located above and below the target. Decay positrons are registered in the µLan (Muon Lifetime Analysis) Detector, which consists of 180 triangular timing tiles distributed uniformly within the 20 SuperTriangles of an icosahedral geometry centered on the target (fig. XX). Each tile consists of an inner and an outer scintillator coupled to independent photomultiplier tubes (PMT) as shown in fig. XX. Prototypes built at Illinois produced photoelectron yields per MIP (minimum ionizing particle) significantly above the design criteria established for gain and timing stability. A system of 500 MHz waveform digitizers will be used to read out each PMT. This enables both timing and energy deposition to be recorded for each event. The high segmentation and the double-pulse rejection capabilities reduce the effect of pileup on the measured lifetime to a level below 1 ppm. The geometry features 90 point-like symmetric tile pairs; the sum of any pair is used in the lifetime analysis. The difference in rate versus time in any tile pair reveals sources of asymmetry. The mechanical design and assembly will be challenge requiring our scintillator and machine shop staff in collaboration with professional engineering. Systematic error control will be aided by our plan to rotate in several fixed orientations and the option to incorporate several different stopping target materials.

REFERENCES

1) T. van Ritbergen and R.G. Stuart, On the Precise Determination of the Fermi Coupling Constant from the Muon Lifetime, hep-ph/9904240; Phys. Rev. Lett. 82 (1999) 488; and Phys. Rev. D 437 (1998) 201.