Diffusion

Setup

Analytical formulation

diff = D[u[x, y, z, t], t] ⩵c (D[u[x, y, z, t], {x, 2}] + D[u[x, y, z, t], {y, 2}] + D[u[x, y, z, t], {z, 2}])

u^(0, 0, 0, 1)[x, y, z, t] ⩵c (u^(0, 0, 2, 0)[x, y, z, t] + u^(0, 2, 0, 0)[x, y, z, t] + u^(2, 0, 0, 0)[x, y, z, t])

Laplacian[f[x, y, z], Cartesian[x, y, z]] FullSimplify[Laplacian[f[r, theta, phi], Spherical[r, theta, phi]]]

f^(0, 0, 2)[x, y, z] + f^(0, 2, 0)[x, y, z] + f^(2, 0, 0)[x, y, z]

1/r^2 (Csc[theta]^2 f^(0, 0, 2)[r, theta, phi] + Cot[theta] f^(0, 1, 0)[r, theta, phi] + f^(0, 2, 0)[r, theta, phi] + 2 r f^(1, 0, 0)[r, theta, phi]) + f^(2, 0, 0)[r, theta, phi]

Gaussian kernel gives solution with u(r,0)=delta(r), lim u(r,t)->0 (r-∞). a=2 c t.  In addition a loss term is included. Spherical symmetric solution in r.

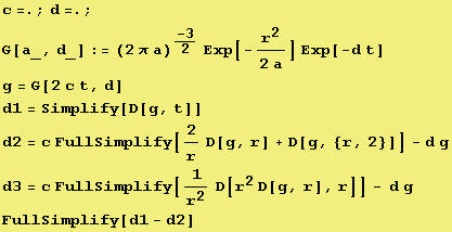
c=. ; d=. ; G[a_, d_] := (2 π a)^-3/2 Exp[-r^2/(2 a)] Exp[-d t] g = G[2 c t, d] d1 = Simpli ... r] + D[g, {r, 2}]] - d g d3 = c FullSimplify[1/r^2 D[r^2 D[g, r], r]] - d g FullSimplify[d1 - d2]

e^(-r^2/(4 c t) - d t)/(8 π^(3/2) (c t)^(3/2))

(c e^(-r^2/(4 c t) - d t) (r^2 - 2 c t (3 + 2 d t)))/(32 π^(3/2) (c t)^(7/2))

-(d e^(-r^2/(4 c t) - d t))/(8 π^(3/2) (c t)^(3/2)) + (e^(-r^2/(4 c t) - d t) (c t)^(1/2) (r^2 - 6 c t))/(32 c^3 π^(3/2) t^4)

-(d e^(-r^2/(4 c t) - d t))/(8 π^(3/2) (c t)^(3/2)) + (e^(-r^2/(4 c t) - d t) (c t)^(1/2) (r^2 - 6 c t))/(32 c^3 π^(3/2) t^4)

0

f[r_, t_, d_] := e^(-r^2/(4 c t) - d t)/(8 π^(3/2) (c t)^(3/2)) f[r, t, d]

e^(-r^2/(4 c t) - d t)/(8 π^(3/2) (c t)^(3/2))

c = 1 ; Plot[{f[r, 1., 0.], f[r, 1., .1], f[r, 3., 0.], f[r, 3., 0.1]}, {r, 0., 8}] ; c = 1 ; Plot[{f[r, .01, 0.], f[r, .01, .1], f[r, .02, 0.], f[r, .02, 0.1]}, {r, 0., 1}] ;

[Graphics:diff_files/diffusion_17.gif]

[Graphics:diff_files/diffusion_18.gif]

Numerical estimates

Following Valery's equations at the end of our original proposal we get (sigma is tranport cross section)

DK[l_, v_] := (v l)/3 l[sig_] := 1/(2^(1/2) sig NH) R[t0_] := (v t0)/(sig NH)^(1/2)

Plug in numbers (cm units)

NH = 4.25 10^22 0.01 0.5  sig = 2.08 10^(-19) v = 0.26 {R[1], R[2.2]}

2.125*10^20

2.08*10^-19

0.26

{0.0766965, 0.113759}


Created by Mathematica  (August 18, 2005)